Pelajaran Matematika Pertidaksamaan Kuadrat

Bimbel Jakarta Timur | Bimbel Diah Jakarta Timur | WA : +6285875969990

Pertidaksamaan adalah suatu kalimat matematika yang menggunakan tanda ketidaksamaan. Tanda ketidaksamaan itu adalah <, >, ≤ atau ≥. Pertidaksamaan kuadrat adalah bentuk pertidaksamaan yang memuat kalimat matematika dengan derajat tertinggi variabelnya adalah dua.


Apa itu pertidaksamaan kuadrat?
Pertidaksamaan kuadrat adalah pernyataan matematika yang menghubungkan ekspresi kuadrat sebagai kurang dari atau lebih besar dari yang lain.

Jika suatu polinomial kuadrat dalam satu variabel lebih kecil atau lebih besar dari suatu bilangan atau polinomial lainnya (dengan derajat lebih kecil atau sama dengan 2), maka dikatakan pertidaksamaan kuadrat.

Perbedaan antara persamaan kuadrat dan pertidaksamaan kuadrat adalah bahwa persamaan kuadrat sama dengan suatu bilangan sedangkan pertidaksamaan kuadrat lebih kecil atau lebih besar dari suatu bilangan.

Beberapa contoh pertidaksamaan kuadrat dalam satu variabel adalah:

x^2+x−1>0
2x^2−5x−2≥0
x^2+2x−1<0
(^ = derajat)

Pertidaksamaan kuadrat memiliki bentuk umum yaitu

  ax² + bx + c < 0  
  ax² + bx + c > 0  
  ax² + bx + c ≤ 0  
  ax² + bx + c ≥ 0  

Bentuk standar
Bentuk standar pertidaksamaan kuadrat dalam satu variabel hampir sama dengan bentuk standar persamaan kuadrat.

catatan:
Satu-satunya perbedaan adalah bahwa persamaan kuadrat memiliki tanda "sama dengan" di dalamnya sedangkan pertidaksamaan kuadrat memiliki tanda "lebih besar dari" atau "kurang dari" (> atau <).

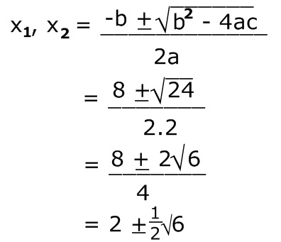
Lanjutkan untuk mendapatkan solusi matematika melalui soal dan pembahasan :

Tag:

buatlah contoh soal pertidaksamaan kuadrat dengan model matematika
pertidaksamaan rasional
pertidaksamaan pecahan
pertidaksamaan nilai mutlak
persamaan kuadrat
cara cepat pertidaksamaan kuadrat
contoh soal pertidaksamaan kuadrat
soal pertidaksamaan kuadrat kelas 10
pertidaksamaan kuadrat pecahan
soal cerita pertidaksamaan kuadrat
contoh soal pertidaksamaan kuadrat dua variabel
pertidaksamaan kuadrat satu variabel
contoh soal pertidaksamaan nilai mutlak
pertidaksamaan kuadrat pdf
COMPARTILHAR:
← Anterior Proxima  → Beranda

Tidak ada komentar:

Posting Komentar

Terima kasih sudah membaca πŸ™

Dukung kami agar terus berkembang dengan menekan Like, Follow, atau Share halaman Facebook kami πŸ’™